国家油茶质检中心代表性科技成果系列展(二)——精炼工艺对茶油品质影响深度探索
2022年7月,王玫博士领衔的研究团队在国际权威期刊《Foods》(Q1,IF:4.7)发表了一篇题为“Effect of Refining Degree on the Quality Changes and Lipid Oxidation of Camellia (Camellia oleifera) Oil during Heating”的研究论文。该论文由王玫博士作为第一作者,与南昌大学万茵教授和付桂明教授共同完成,研究了精炼程度对油茶籽油热稳定性及脂质变化的影响,为油茶籽油产业提供科学依据与实践指导。

精炼对油茶籽油的品质和活性脂质伴随物具有显著影响,为深入探究精炼工艺对油茶籽油热稳定性的影响机制,王玫博士团队创新性地采用理化分析与脂质组学方法,对油茶籽原油、轻度精炼油茶籽油及精炼油茶籽油在加热过程中的品质劣变与脂质氧化过程进行了系统而深入的探究。

Graphical Abstract
通过对基本理化指标、氧化程度和活性物质含量进行测定,研究团队综合评估了三种油茶籽油的品质劣变行为。结果显示,三种油茶籽油的氧化稳定性由高到低依次为轻度精炼油茶籽油>油茶籽原油>精炼油茶籽油。这可能与油茶籽油中含有的天然抗氧化物质含量与风险因子含量有关。随着精炼程度的加深,油茶籽油中的天然抗氧化物质逐渐流失,其中油茶籽原油的抗氧化物质含量最为丰富,轻度精炼油茶籽油次之,精炼油茶籽油则最少。
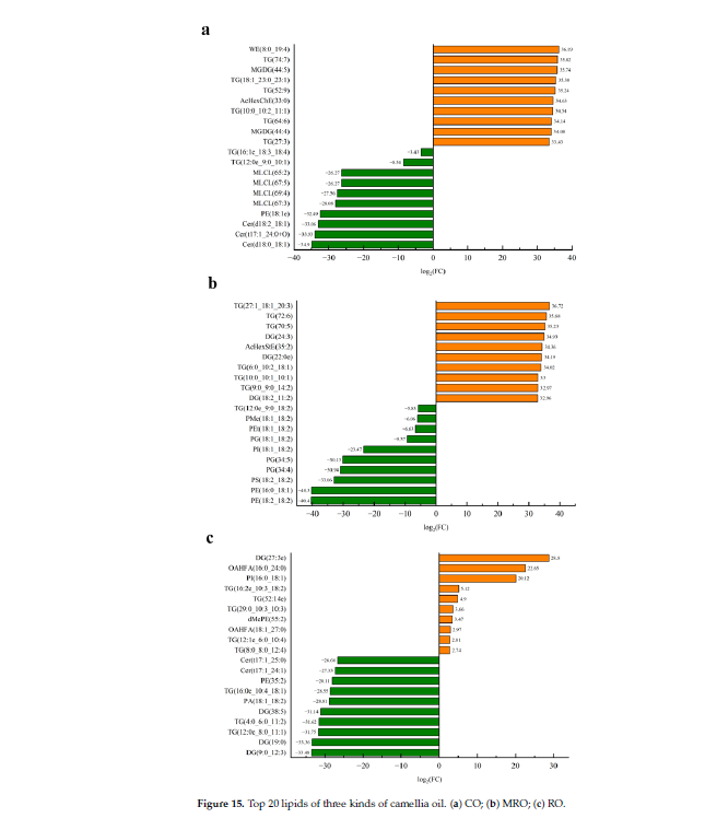
脂质组学分析进一步显示,三种不同精炼水平的油茶籽油及加热前后脂质变化显著。研究团队筛选出上调和下调倍数分别排名前10的差异脂质,并对三种油的差异倍数进行了深入分析。结果显示,油茶籽原油和轻度精炼油茶籽油的上调倍数显著大于精炼油茶籽油,轻度精炼油茶籽油和精炼油茶籽油的下调倍数大于油茶籽原油。


通过通路分析成功找出了甘油磷脂代谢这一关键的氧化通路,涉及PE(34:2)、PE(40:0)、PE(42:5)、PE(44:0)、PS(38:4)等五种脂质,精炼和加热加速了PS向PE的转化,这表明轻度精炼油茶籽油有利于保留油茶籽油中抗氧化脂质。



油茶籽油作为一种对人体健康有益的保健型营养油,其过度加工不仅会导致脂质伴随物的严重损失,还可能产生潜在的健康风险因子。相比之下,轻度精炼技术不仅能使油茶籽成品油的各项指标达到或优于国家标准,还能显著提高活性脂质伴随物的保留率。因此,轻度精炼生产的茶油更符合中国人的热烹饪饮食习惯,更有利于人体健康。
这一研究成果不仅为油茶籽油的精炼技术提供了新的理论支撑和实践指导,也为“健康中国”战略和科学用油提供了重要的科学依据。下一步,国家油茶质检中心将继续致力于油茶籽油品质提升技术的研发与创新,为推动我国油茶产业的持续健康发展贡献力量,让油茶籽油成为更多家庭餐桌上的健康之选。